CKY's blog
Mar
15
康托「偷走了無限」嗎?

康托「偷走了無限」嗎?

Quanta Magazine 報導〈偷走了無限的人〉(The Man Who Stole Infinity)標題下得吸引,可惜是「標題黨」。
10 min read
Jun
07
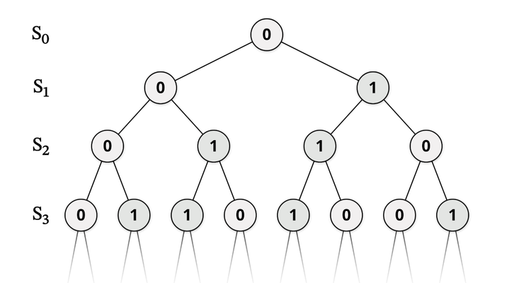
Thue-Morse 數列

Thue-Morse 數列

Thue-Morse 數列當中不會包含連續重複三次的數列。
14 min read
Apr
15
讀書筆記︰《打台灣不如騙台灣》

讀書筆記︰《打台灣不如騙台灣》

打台灣不如騙台灣:中國對台灣認知作戰的Q&A 作者:沈伯洋、吳銘軒、台灣民主實驗室,採訪撰稿:游婉琪
6 min read
Dec
22
未睇嘅書:The Fabric of Reality

未睇嘅書:The Fabric of Reality

The Fabric of Reality: The Science of Parallel Universes—and Its Implications|David Deutsch
4 min read
Dec
08
運算順序

運算順序

網絡上間中引起爭論的小學數學題 ➕➖✖️➗
6 min read
Jul
08
一張數理邏輯海報

一張數理邏輯海報

圖中介紹1847至1947年間多位數學家、邏輯學家及哲學家的貢獻,這段期間數理邏輯及數學基礎研究高速發展。
5 min read
Jul
07
讀書筆記︰The Misinformation Age

讀書筆記︰The Misinformation Age

The Misinformation Age: How False Beliefs Spread by Cailin O'Connor & James Owen Weatherall
16 min read
May
14
讀書筆記︰What to Believe Now

讀書筆記︰What to Believe Now

What to Believe Now: Applying Epistemology to Contemporary Issues, by David Coady
15 min read
Mar
24
未睇嘅書︰How to Sell a Contradiction

未睇嘅書︰How to Sell a Contradiction

How to Sell a Contradiction, Franesco Berto
3 min read
Mar
22
最微小的抗議

最微小的抗議

🔳
2 min read